CII thanh toán hơn 156 tỷ đồng lãi trái phiếu trong năm 2025
Trong năm 2025, CII đã chi tổng cộng hơn 156 tỷ đồng để thanh toán đúng hạn tiền lãi cho 6 lô trái phiếu.
Mới đây, CTCP Đầu tư Hạ tầng Kỹ thuật TP.HCM (MCK: CII) đã có văn bản công bố thông tin định kỳ về tình hình thanh toán gốc, lãi trái phiếu gửi đến Sở Giao dịch Chứng khoán Hà Nội (HNX) và Người sở hữu trái phiếu.
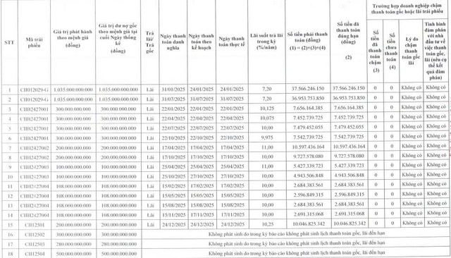
Theo đó, trong năm 2025, CII đã chi tổng cộng hơn 156 tỷ đồng để thanh toán đúng hạn tiền lãi cho 6 lô trái phiếu. Cụ thể, doanh nghiệp đã thanh toán hơn 74,5 tỷ đồng tiền lãi cho lô trái phiếu mã CII012029-G; hơn 30,1 tỷ đồng lãi của lô trái phiếu CIIB2427001; hơn 20,3 tỷ đồng lãi của lô trái phiếu CIIH2427002; hơn 10,3 tỷ đồng lãi của lô CIIH2427003; gần 10,7 tỷ đồng lãi cho lô trái phiếu mã CIIH2427004 và hơn 10 tỷ đồng lãi cho lô CII12501.
Được biết, lô trái phiếu mã CII012029-G có tổng giá trị phát hành 1.150 tỷ đồng, được phát hành từ ngày 31/1/2019, kỳ hạn 10 năm, dự kiến đáo hạn ngày 31/1/2029. Tại thời điểm thống kê (ngày 31/12/2025), giá trị dư nợ gốc của lô trái phiếu đang ở mức 1.035 tỷ đồng.

Nguồn: HNX
Lô trái phiếu mã CIIB2427001 được phát hành ngày 22/7/2024, tổng giá trị phát hành 300 tỷ đồng, kỳ hạn 3 năm, dự kiến đáo hạn 22/7/2027.
Hai lô trái phiếu mã CIIH2427002, CIIH2427003 có tổng giá trị phát hành lần lượt là 200 tỷ đồng và 100 tỷ đồng, được phát hành từ tháng 10/2024, kỳ hạn 3 năm, dự kiến đáo hạn vào tháng 10/2027.
Bên cạnh đó, lô trái phiếu mã CIIH2427004 được phát hành vào ngày 15/11/2024, tổng giá trị phát hành 108 tỷ đồng, kỳ hạn 3 năm, dự kiến đáo hạn vào ngày 15/11/2027.
Cuối cùng, lô trái phiếu mã CII12501 gồm 2.000 trái phiếu có mệnh giá 100 triệu đồng/trái phiếu, tổng giá trị phát hành 200 tỷ đồng, phát hành vào ngày 24/6/2025, kỳ hạn 5 năm, dự kiến đáo hạn vào 24/6/2030.
Liên quan đến trái phiếu, mới đây CII đã có văn bản thông báo về việc chào bán trái phiếu ra công chúng.
Theo đó, CII dự kiến chào bán 25 triệu trái phiếu mã CII425002, thuộc loại trái phiếu chuyển đổi thành cổ phần phổ thông, không kèm chứng quyền, không có tài sản bảo đảm. Kỳ hạn trái phiếu là 15 năm.
Với giá chào bán 100.000 đồng/trái phiếu, lô trái phiếu có tổng giá trị phát hành 2.500 tỷ đồng. Số tiền thu được sẽ được CII sử dụng để đầu tư vào các chương trình, dự án của công ty.
Trái phiếu dự kiến được chuyển đổi với tỷ lệ 1:8, tức mỗi trái phiếu được chuyển đổi thành 8 cổ phần phổ thông, giá chuyển đổi 12.500 đồng/cổ phần phổ thông, dự kiến được chuyển đổi trong 13 đợt, cụ thể như sau:
Số lượng trái phiếu đặt mua tối thiểu đối với nhà đầu tư cá nhân và tổ chức là 100.000 đồng tính theo mệnh giá trái phiếu. Thời gian đăng ký mua và nộp tiền đặt cọc từ ngày 1/4/2026 đến 17 giờ ngày 25/5/2026; thời gian nhận tiền mua trái phiếu chậm nhất 17 giờ ngày 2/6/2026.
PV