Hơn 1600 chủ xe vượt đèn đỏ, chạy quá tốc độ biển số sau phải đóng phạt nguội theo Nghị định 168
Mới đây, Công an tỉnh Vĩnh Phúc đã có thông báo kết quả phát hiện, xử lý phạt nguội thông qua Hệ thống camera giám sát giao thông.
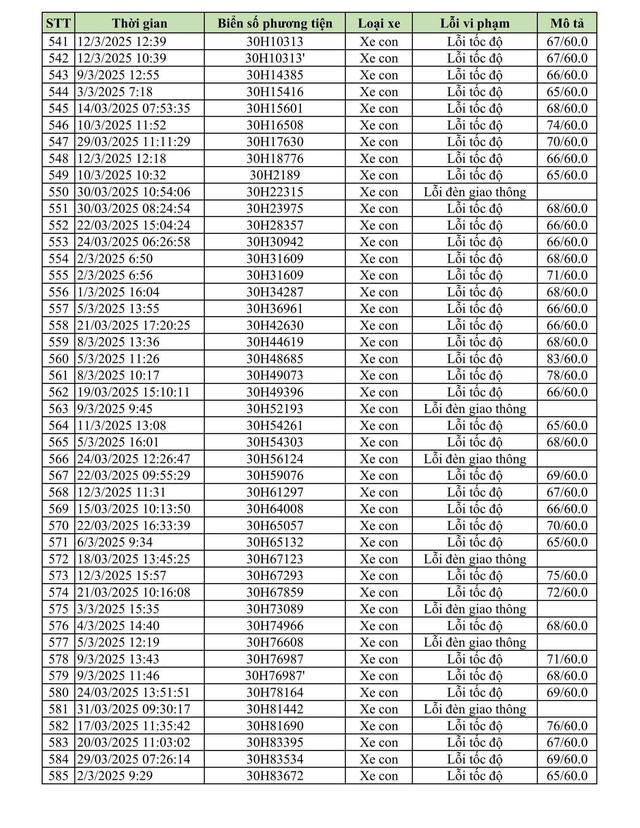
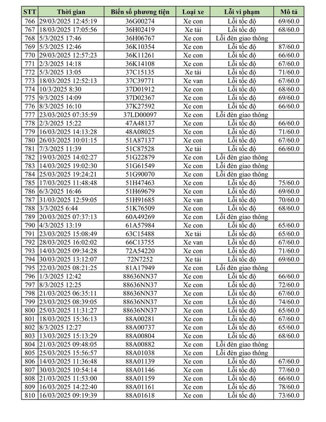
Theo đó, từ ngày 1/3 đến ngày 31/3, qua Hệ thống camera giám sát giao thông, Phòng Cảnh sát giao thông, Công an tỉnh Vĩnh Phúc đã phát hiện và xử phạt “nguội” đối với 1630 trường hợp vi phạm Luật an toàn giao thông. Các lỗi vi phạm bao gồm: "Lỗi tốc độ" và "Lỗi đèn giao thông".
Thông qua thông báo này, Cơ quan Công an yêu cầu chủ phương tiện đến Phòng Cảnh sát giao thông Công an tỉnh để làm việc và thực hiện việc nộp phạt theo đúng quy định.
Chi tiết các trường hợp vi phạm như sau:





































Danh sách 1630 trường hợp vi phạm Luật an toàn giao thông (Ảnh: Công an tỉnh Vĩnh Phúc)
Người dân cần lưu ý, để tra cứu phương tiện vi phạm, nhân dân có thể truy cập vào đường link sau đây và thực hiện theo hướng dẫn: https://www.csgt.vn/tra-cuu-phuong-tien-vi-pham.html.
Bên cạnh đó, người dân cũng có thể tra cứu phạt nguội qua ứng dụng VNeTraffic theo các bước như sau:
Bước 1: Tải và cài đặt app VNeTraffic về điện thoại trên App Store/ CH Play.
Bước 2: Đăng nhập tài khoản
Trường hợp chưa có tài khoản thì đăng ký tài khoản theo các bước sau:
Chọn đăng ký, sau đó quét mã QR bên góc trên cùng phải của thẻ CCCD. Người dân thực hiện kiểm tra thông tin, nhập số điện thoại và bấm "Xác nhận".
Sau đó hệ thống sẽ gửi mã OTP về điện thoại, người dân cần nhập mã OTP và thiết lập mật khẩu.
Bước 3: Để kiểm tra phạt nguội cá nhân chọn mục "Tra cứu vi phạm".
Bước 4: Nhập biển số xe cần tra cứu và nhấn “Kiểm tra”
Hà Giang